Questa è una vecchia versione del documento!
Indice
Progetto di ASD, anno accademico 2024/2025
Il progetto consiste nello scrivere un programma in grado di analizzare una rete bayesiana discreta a partire da un file testuale in formato BIF (Bayesian Interchange Format), calcolando le probabilità marginali per ogni variabile.
Le reti bayesiane sono modelli probabilistici che rappresentano un insieme di variabili aleatorie discrete e le loro dipendenze condizionate tramite un grafo aciclico orientato (DAG). Ogni nodo del grafo corrisponde a una variabile, mentre gli archi indicano relazioni di causalità o dipendenza statistica (CPT o tabelle di probabilità condizionale). La probabilità marginale di un nodo esprime la sua probabilità senza dipendenza. Le reti bayesiane sono ampiamente utilizzate in ambiti come diagnosi automatica, bioinformatica, sistemi esperti, intelligenza artificiale e decision support systems, dove è fondamentale integrare conoscenze a priori con dati osservati.
Obiettivi del progetto
- Parsing: Leggere un file `.bif` che descrive una rete bayesiana con variabili booleane.
- Build: Costruire il grafo aciclico orientato (DAG) associato alla rete.
- Analyze: Per ogni variabile \( X \), calcolare la probabilità marginale \( P(X = x) \) per ciascun valore \( x \in \text{dom}(X) \).
Nota: Verificare che la somma delle probabilità marginali di ciascuna variabile sia 1 (entro una tolleranza numerica).
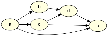
Struttura della rete bayesiana
Nell'esempio mostrato in figura, la rete bayesiana è composta da 5 variabili:
- `a` è un nodo sorgente.
- `b` e `c` dipendono da `a`.
- `d` dipende da `b` e `c`.
- `e` dipende da `a`, `c`, e `d`.
Questo corrisponde ai seguenti archi nel grafo:
a → b a → c b → d c → d a → e c → e d → e
Le variabili sono booleane (`true`, `false`). Le tabelle CPT corrispondenti sono le seguenti (come descritto nel file zip di esempio : `gradient.bif`):
P(a): true → 0.5 false → 0.5 P(b | a): a=true: true → 0.8, false → 0.2 a=false: true → 0.3, false → 0.7 P(c | a): a=true: true → 0.6, false → 0.4 a=false: true → 0.2, false → 0.8 P(d | b, c): b=true, c=true: true → 0.9, false → 0.1 b=true, c=false: true → 0.7, false → 0.3 b=false, c=true: true → 0.6, false → 0.4 b=false, c=false: true → 0.1, false → 0.9 P(e | a, c, d): a=true, c=true, d=true: true → 0.95, false → 0.05 a=true, c=true, d=false: true → 0.85, false → 0.15 a=true, c=false, d=true: true → 0.75, false → 0.25 a=true, c=false, d=false: true → 0.50, false → 0.50 a=false, c=true, d=true: true → 0.80, false → 0.20 a=false, c=true, d=false: true → 0.60, false → 0.40 a=false, c=false, d=true: true → 0.30, false → 0.70 a=false, c=false, d=false: true → 0.10, false → 0.90
Calcolo della probabilità marginale
Per calcolare la probabilità marginale \( P(e = \text{true}) \), si può usare enumerazione completa. L'idea è quella di generare tutte le possibili configurazioni delle variabili che influenzano `e`, calcolare la probabilità congiunta per ciascuna, e sommare i casi in cui `e = true`.
Esempio:
P(e = true) = ∑_{a,b,c,d}
P(a) ⋅ P(b | a) ⋅ P(c | a) ⋅ P(d | b,c) ⋅ P(e = true | a,c,d)
Dove:
- \( P(a) \) è la probabilità marginale di `a` (senza genitori)
- \( P(b | a) \), \( P(c | a) \), \( P(d | b,c) \), \( P(e | a,c,d) \) sono lette dalle CPT
Passaggi consigliati:
1. Generare tutte le configurazioni booleane per le variabili \{a, b, c, d\}
2. Per ciascuna, calcolare la probabilità congiunta come prodotto dei termini
3. Sommare solo quelle in cui `e = true`
Nota: Per ogni configurazione si usa un ordine topologico delle variabili, utile per assicurare che ogni probabilità condizionata sia ben definita. Questo permette di applicare una forma di programmazione dinamica (o memoization) dove i valori dei nodi sorgente, sono calcolati prima del nodo destinazione, senza usare la ricorsione esplicita ed evitando lo stack.
Requisiti tecnici
- Il DAG della rete sarà rappresentato con `vector<vector<int64_t» adj`.
- Le tabelle di probabilità condizionate saranno lette dal file `.bif` e memorizzate in strutture C++ appropriate.
- È consigliato l'uso di una visita topologica per ordinare le variabili nella corretta sequenza causale, per evitare la ricorsione.
- Il codice dovrà essere leggibile e suddiviso in funzioni coerenti.
Discussione ad alto livello sulla lettura del file .bif
Il file `gradient.bif` descrive una rete bayesiana in formato testuale secondo lo standard BIF. Il parsing deve interpretare due tipi principali di blocchi:
- Blocchi `variable`: dichiarano il nome della variabile e i suoi valori discreti (es. `true`, `false`).
- Blocchi `probability`: descrivono le tabelle di probabilità condizionale (CPT) per una variabile, eventualmente condizionata dai suoi genitori.
Esempio:
variable a {
type discrete [2] { true, false };
}
probability (b | a) {
(true) 0.8, 0.2;
(false) 0.3, 0.7;
}
Durante la lettura:
- Per ogni `variable`, si memorizza:
- il nome della variabile;
- il numero e i nomi dei valori discreti.
- Per ogni `probability`, si memorizzano:
- la variabile target;
- i suoi genitori (se presenti);
- la tabella CPT, che associa a ogni combinazione dei genitori un vettore di probabilità.
Si consiglia di usare una struttura C++ come:
struct Variable {
std::string name;
std::vector<std::string> values;
std::vector<std::string> parents;
std::vector<std::vector<double>> cpt;
};
Le dipendenze tra variabili vanno rappresentate con un grafo orientato aciclico (DAG), costruito a partire dai genitori indicati nei blocchi `probability`. Questo DAG può essere rappresentato con:
vector<vector<int64_t>> adj;
dove `adj[u]` contiene i successori della variabile con indice `u`. Per costruire questo grafo è utile mantenere una mappatura da nome a indice tramite:
unordered_map<string, int64_t> name_to_id;
Una volta completato il parsing:
- si esegue una visita topologica sul DAG per ordinare le variabili in ordine causale;
- si possono costruire tutte le configurazioni possibili e calcolare le probabilità congiunte e marginali;
- ogni configurazione può essere rappresentata con una mappa `{nome → valore}`, e l'accesso alle CPT avviene tramite indice calcolato sulla base dei valori dei genitori.
Questa fase costituisce la base per il calcolo della probabilità marginale come richiesto nel progetto.
Estensioni opzionali
- Calcolo di probabilità condizionate: \( P(X = x \mid E = e) \)
- Aggiunta di evidenza da riga di comando (es. `-e a=true,c=false`)
- Implementazione dell’eliminazione di variabili (Variable Elimination)
Materiale utile
- Specifiche formato BIF: https://www.bnlearn.com/bnrepository/BIFformat.pdf
- File zip di esempio : `gradient.bif` (basato sull'immagine fornita)
- Repository di reti bayesiane in vari formati, incluso BIF: repository
- Documentazione: https://en.wikipedia.org/wiki/Bayesian_network

